|
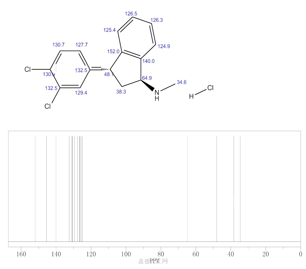
1H-Inden-1-amine,3-(3,4-dichlorophenyl)-2,3-dihydro-N-methyl-, hydrochloride (1:1), (1R,3S)-rel-
- CAS No: 96850-13-4
- Formula: C16H16Cl3N
- Molecular Weight: 328.661
| Purity | Pack Size | LeadTime | Inventory | Operation |
Recommend
-
Lansoprazole CAS:103577-45-3 Purity:医药级99% LeadTime:0 days
-
2-(2-Ethoxyethoxy)ethanol CAS:111-90-0 Purity:D806762 LeadTime:1 days
-
Hexanoic acid,2-(diethylamino)ethyl ester CAS:10369-83-2 Purity:98 LeadTime: days
-
Amylamine CAS:110-58-7 Purity:A800423-5ml*1,正戊胺,98% LeadTime:1 days



