|
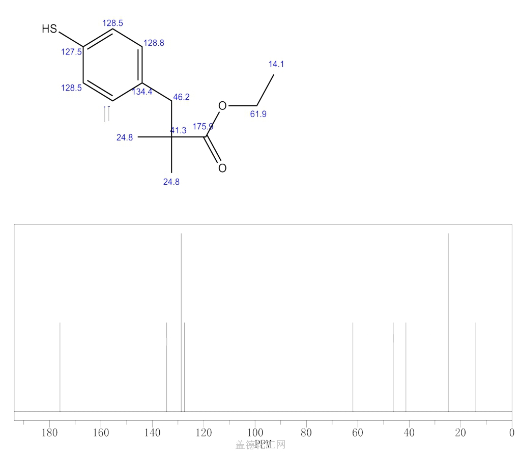
Benzenepropanoic acid,4-mercapto-a,a-dimethyl-, ethyl ester
- CAS No: 869853-73-6
- Formula: C13H18O2S
- Molecular Weight: 238.345
| Purity | Pack Size | LeadTime | Inventory | Operation |
Recommend
-
Bromobenzene CAS:108-86-1 Purity:W330039-500g*1,99.5% LeadTime:1 days
-
4-Amino thioanisole CAS:104-96-1 Purity:98 LeadTime:1 days
-
2(1H)-PYRIDINONE, 1-METHYL-5-(4,4,5,5-TETRAMETHYL-1,3,2-DIOXABOROLAN-2-YL)- CAS:1002309-52-5 Purity:97 LeadTime:1 days
-
Phosphorus oxychloride CAS:10025-87-3 Purity:99 LeadTime:1 days



