Home >
product >
Biochemicals and Pharmaceutical Chemicals >
Active Pharmaceutical Ingredients (APIs) >
Cardiovascular system
|
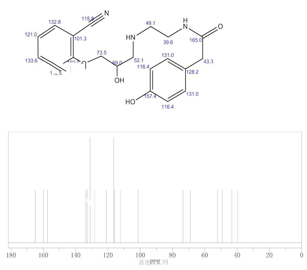
Benzeneacetamide,N-[2-[[3-(2-cyanophenoxy)-2-hydroxypropyl]amino]ethyl]-4-hydroxy-
- CAS No: 86880-51-5
- Formula: C20H23N3O4
- Molecular Weight: 369.421
| Purity | Pack Size | LeadTime | Inventory | Operation |
Recommend
-
Amylamine CAS:110-58-7 Purity:A800423-5ml*1,正戊胺,98% LeadTime:1 days
-
Adapalene CAS:106685-40-9 Purity:98 LeadTime:1 days
-
Thiazole,2-chloro-5-(chloromethyl)- CAS:105827-91-6 Purity:98 LeadTime:1 days
-
2,6-Benzothiazolediamine,4,5,6,7-tetrahydro-, (6S)- CAS:106092-09-5 Purity:S808525-25g,(S)-(-)-2,6-二氨基-4,5,6,7-四氢苯并噻唑, 98% LeadTime:1 days



