|
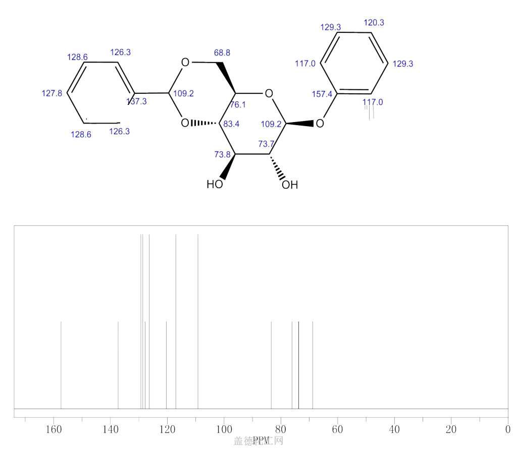
b-D-Glucopyranoside, phenyl4,6-O-[(R)-phenylmethylene]-
- CAS No: 75829-66-2
- Formula: C19H20 O6
- Molecular Weight: 344.36
| Purity | Pack Size | LeadTime | Inventory | Operation |
Recommend
-
p-Toluenesulfonic Acid CAS:104-15-4 Purity:99无水 LeadTime:1 days
-
Amylamine CAS:110-58-7 Purity:A800423-5ml*1,正戊胺,98% LeadTime:1 days
-
Hexanoic acid,2-(diethylamino)ethyl ester CAS:10369-83-2 Purity:98 LeadTime: days
-
2,6-Benzothiazolediamine,4,5,6,7-tetrahydro-, (6S)- CAS:106092-09-5 Purity:S808525-25g,(S)-(-)-2,6-二氨基-4,5,6,7-四氢苯并噻唑, 98% LeadTime:1 days



