|
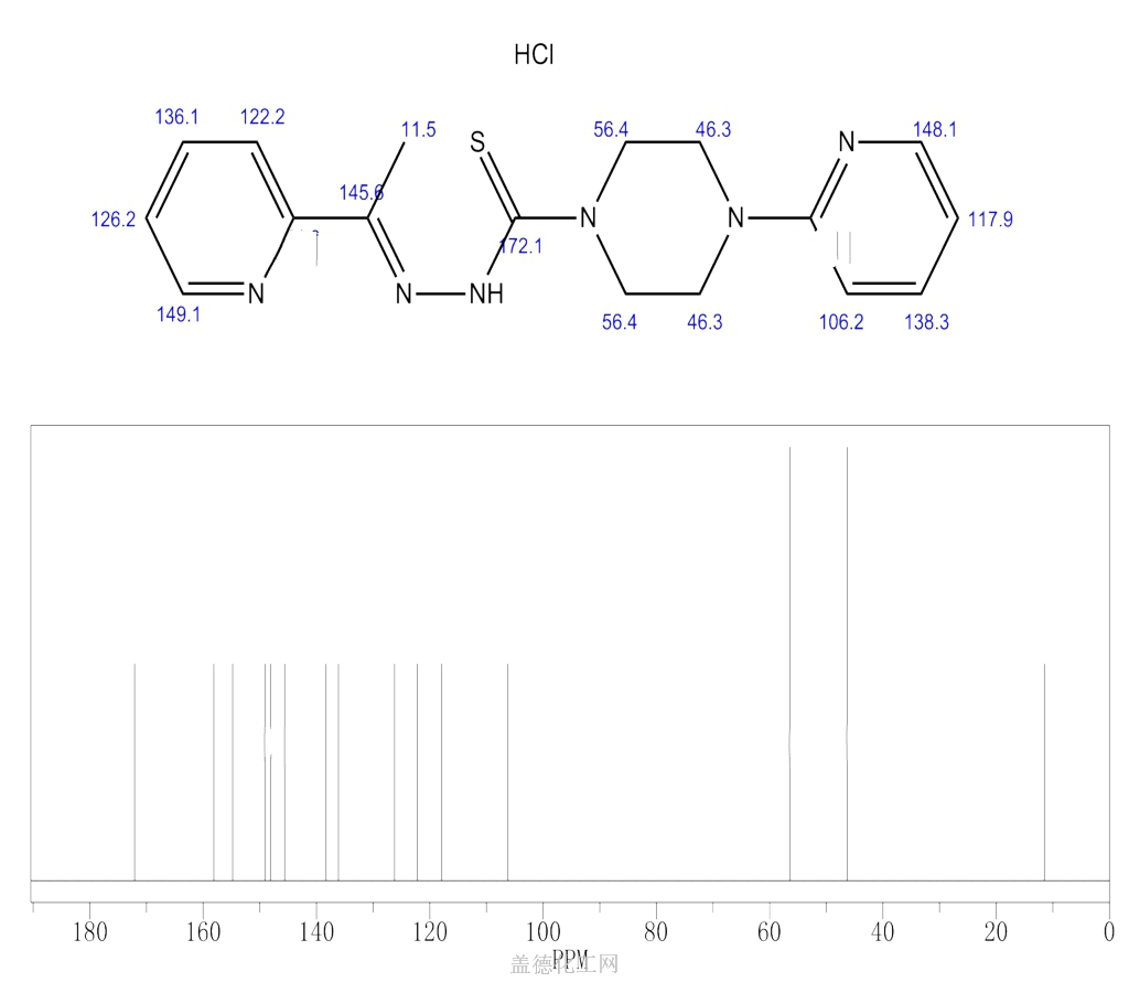
1-Piperazinecarbothioic acid,4-(2-pyridinyl)-, 2-[1-(2-pyridinyl)ethylidene]hydrazide, hydrochloride (1:2)
- CAS No: 71555-55-0
- Formula: C17H21ClN6S
- Molecular Weight: 376.907
| Purity | Pack Size | LeadTime | Inventory | Operation |
Recommend
-
3,5-Dimethylphenol CAS:108-68-9 Purity:D806973-5kg LeadTime:1 days
-
Bromobenzene CAS:108-86-1 Purity:W330039-500g*1,99.5% LeadTime:1 days
-
5,6,7,8-Tetrahydroquinoline CAS:10500-57-9 Purity:99% LeadTime:1 days
-
4-Amino thioanisole CAS:104-96-1 Purity:98 LeadTime:1 days



