|
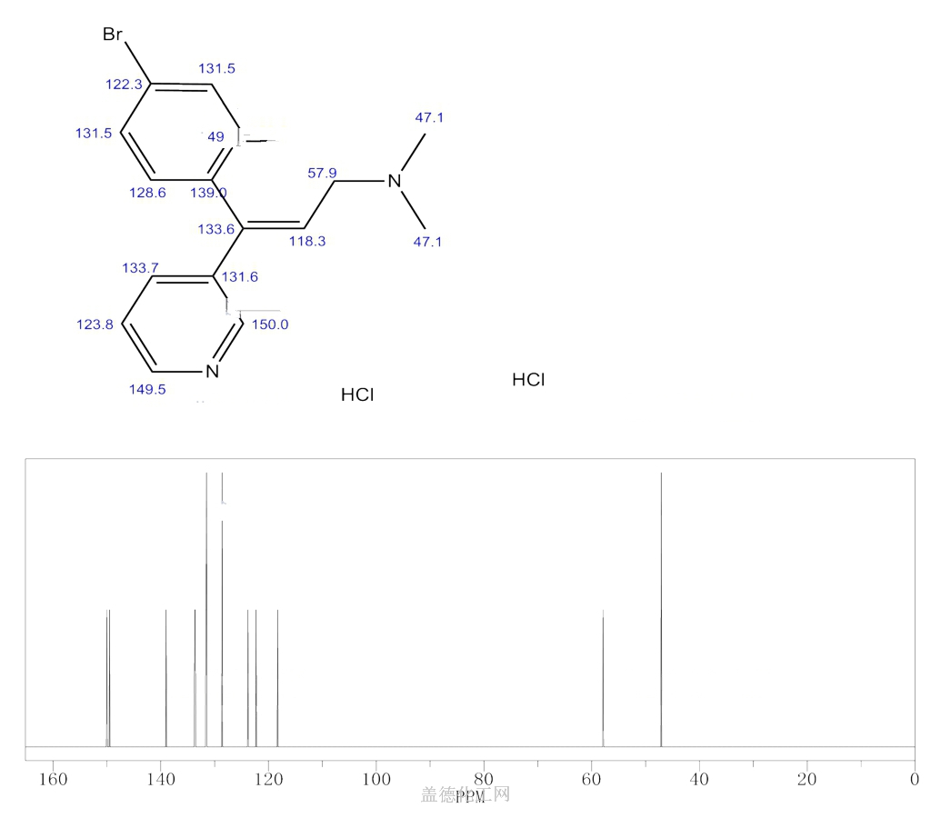
2-Propen-1-amine,3-(4-bromophenyl)-N,N-dimethyl-3-(3-pyridinyl)-, (2Z)-
- CAS No: 56775-88-3
- Formula: C16H17BrN2
- Molecular Weight: 317.23
| Purity | Pack Size | LeadTime | Inventory | Operation |
Recommend
-
Thiazole,2-chloro-5-(chloromethyl)- CAS:105827-91-6 Purity:98 LeadTime:1 days
-
Ethanone,2-bromo-1-(2,4-difluorophenyl)- CAS:102429-07-2 Purity:97 LeadTime:1 days
-
Pyridine,2-bromo-5-methoxy- CAS:105170-27-2 Purity:98% LeadTime:1 days
-
(R)-4-Benzyl-2-oxazolidinone CAS:102029-44-7 Purity:98 LeadTime:1 days



