|
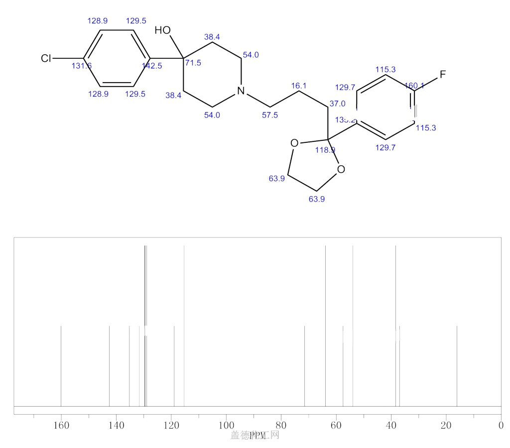
4-Piperidinol,4-(4-chlorophenyl)-1-[3-[2-(4-fluorophenyl)-1,3-dioxolan-2-yl]propyl]-
- CAS No: 56660-99-2
- Formula: C23H27ClFNO3
- Molecular Weight: 419.921
| Purity | Pack Size | LeadTime | Inventory | Operation |
Recommend
-
Thiazole,2-chloro-5-(chloromethyl)- CAS:105827-91-6 Purity:98 LeadTime:1 days
-
Pyridine,2-bromo-5-methoxy- CAS:105170-27-2 Purity:98% LeadTime:1 days
-
2(1H)-PYRIDINONE, 1-METHYL-5-(4,4,5,5-TETRAMETHYL-1,3,2-DIOXABOROLAN-2-YL)- CAS:1002309-52-5 Purity:97 LeadTime:1 days
-
Amylamine CAS:110-58-7 Purity:A800423-5ml*1,正戊胺,98% LeadTime:1 days



