|
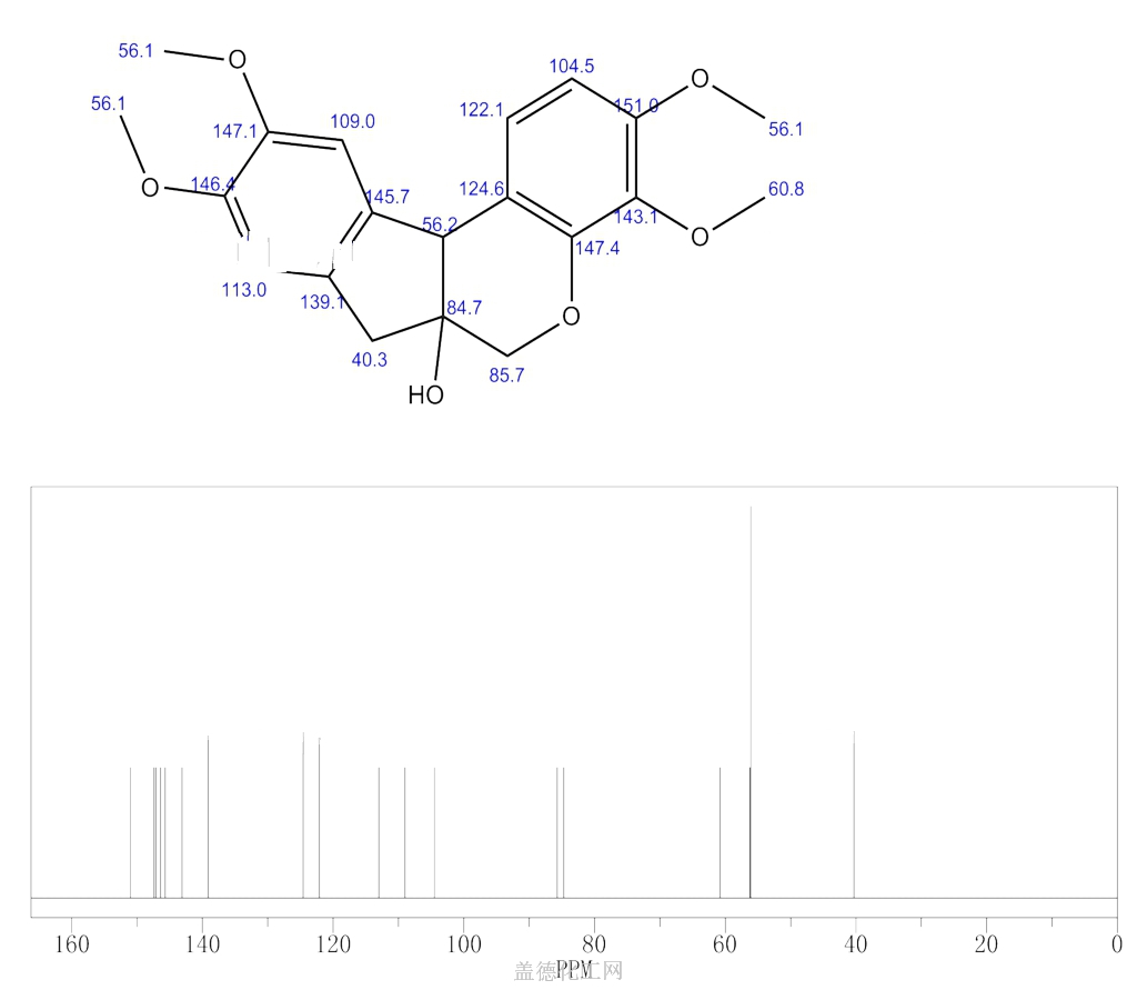
3,4,9,10-tetramethoxy-7,11b-dihydroindeno[2,1-c]chromen-6a(6H)-ol
- CAS No: 5485-14-3
- Formula: C20H22O6
- Molecular Weight: 358.39
| Purity | Pack Size | LeadTime | Inventory | Operation |
Recommend
-
Pyridine,2-bromo-5-methoxy- CAS:105170-27-2 Purity:98% LeadTime:1 days
-
4-Amino thioanisole CAS:104-96-1 Purity:98 LeadTime:1 days
-
(R)-4-Benzyl-2-oxazolidinone CAS:102029-44-7 Purity:98 LeadTime:1 days
-
3,5-Dimethylphenol CAS:108-68-9 Purity:D806973-5kg LeadTime:1 days



