|
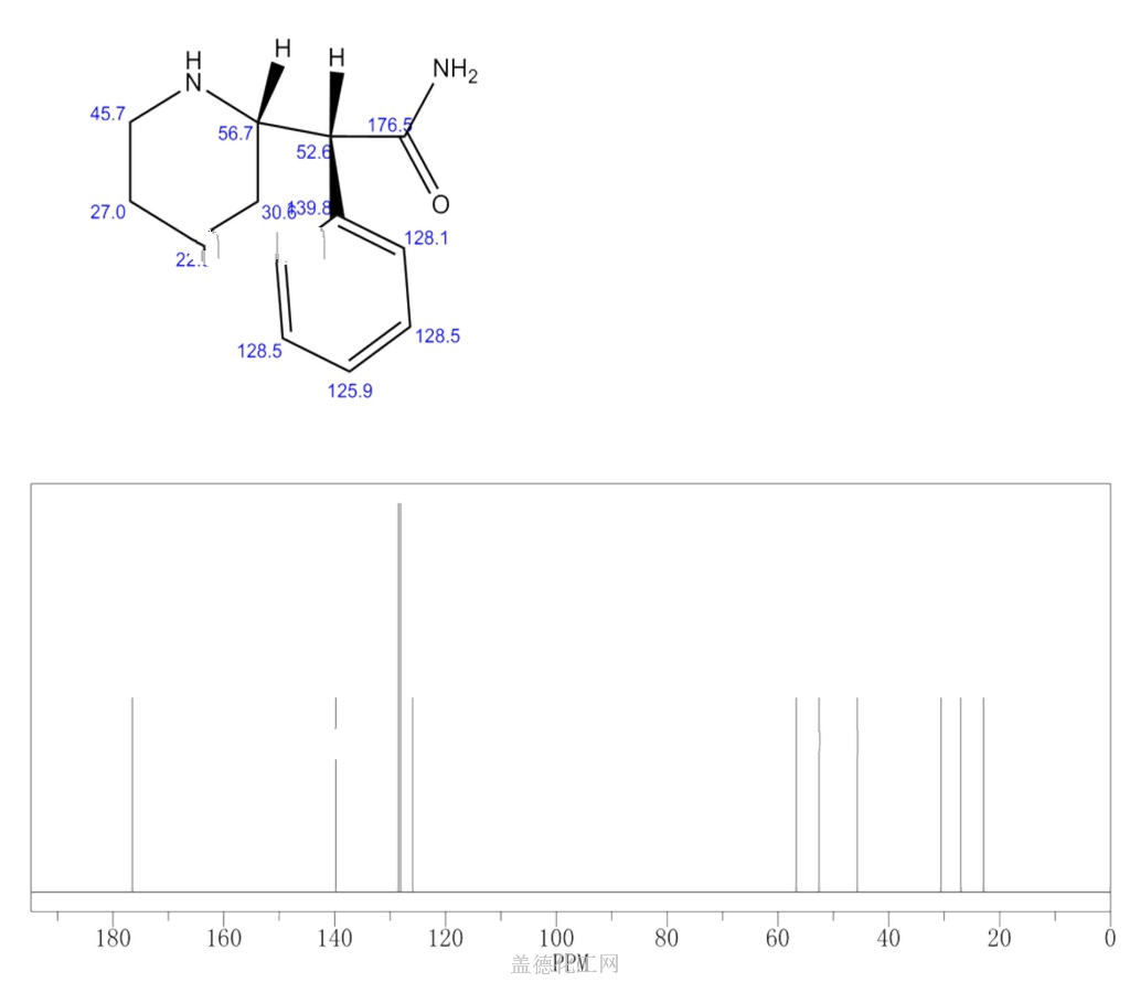
(D,L)-threo-α-Phenyl-
- CAS No: 50288-62-5
- Formula: C13H18N2O
- Molecular Weight: 218.29482
| Purity | Pack Size | LeadTime | Inventory | Operation |
Recommend
-
Hexanoic acid,2-(diethylamino)ethyl ester CAS:10369-83-2 Purity:98 LeadTime: days
-
p-Toluenesulfonic Acid CAS:104-15-4 Purity:99无水 LeadTime:1 days
-
2-(2-Ethoxyethoxy)ethanol CAS:111-90-0 Purity:D806762 LeadTime:1 days
-
Thiazole,2-chloro-5-(chloromethyl)- CAS:105827-91-6 Purity:98 LeadTime:1 days



