|
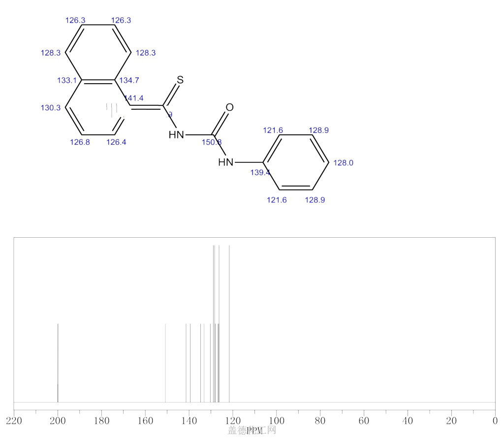
1-Naphthalenecarbothioamide,N-[(phenylamino)carbonyl]-
- CAS No: 4875-18-7
- Formula: C18H14N2OS
- Molecular Weight: 306.383
| Purity | Pack Size | LeadTime | Inventory | Operation |
Recommend
-
2(1H)-PYRIDINONE, 1-METHYL-5-(4,4,5,5-TETRAMETHYL-1,3,2-DIOXABOROLAN-2-YL)- CAS:1002309-52-5 Purity:97 LeadTime:1 days
-
(1S)-(+)-(Camphorylsulfonyl)oxaziridine CAS:104322-63-6 Purity:98% LeadTime:1 days
-
Thiazole,2-chloro-5-(chloromethyl)- CAS:105827-91-6 Purity:98 LeadTime:1 days
-
2-Bromofluorobenzene CAS:1072-85-1 Purity:99% LeadTime:1 days



