|
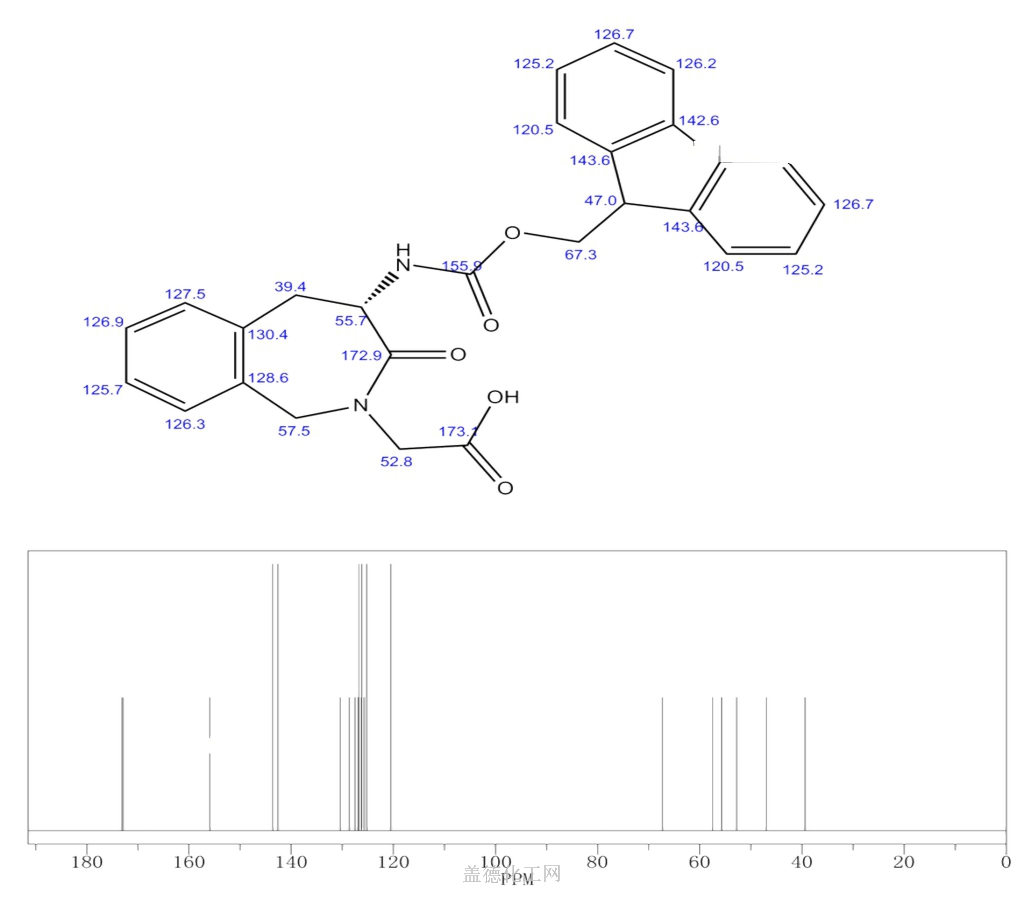
2H-2-Benzazepine-2-aceticacid, 4-[[(9H-fluoren-9-ylmethoxy)carbonyl]amino]-1,3,4,5-tetrahydro-3-oxo-,(4S)-
- CAS No: 264273-08-7
- Formula: C27H24 N2 O5
- Molecular Weight: 456.49
| Purity | Pack Size | LeadTime | Inventory | Operation |
Recommend
-
2(1H)-PYRIDINONE, 1-METHYL-5-(4,4,5,5-TETRAMETHYL-1,3,2-DIOXABOROLAN-2-YL)- CAS:1002309-52-5 Purity:97 LeadTime:1 days
-
Bromobenzene CAS:108-86-1 Purity:W330039-500g*1,99.5% LeadTime:1 days
-
p-Toluenesulfonic Acid CAS:104-15-4 Purity:99无水 LeadTime:1 days
-
Lansoprazole CAS:103577-45-3 Purity:医药级99% LeadTime:0 days



