|
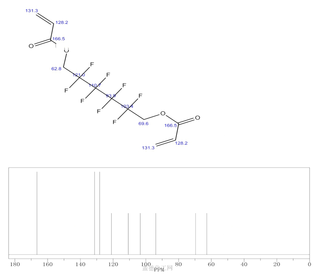
2-Propenoic acid,1,1'-(2,2,3,3,4,4,5,5-octafluoro-1,6-hexanediyl) ester
- CAS No: 2264-01-9
- Formula: C12H10F8O4
- Molecular Weight: 370.195
Recommend
-
3,5-Dimethylphenol CAS:108-68-9 Purity:D806973-5kg LeadTime:1 days
-
Ethanone,2-bromo-1-(2,4-difluorophenyl)- CAS:102429-07-2 Purity:97 LeadTime:1 days
-
3,5-Dimethylphenol CAS:108-68-9 Purity:D806973-5kg LeadTime:1 days
-
Hexanoic acid,2-(diethylamino)ethyl ester CAS:10369-83-2 Purity:98 LeadTime: days



