|
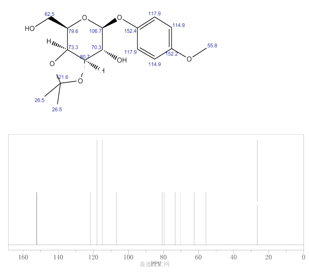
b-D-Galactopyranoside,4-methoxyphenyl 3,4-O-(1-methylethylidene)-
- CAS No: 159922-67-5
- Formula: C16H22O7
- Molecular Weight: 326.345
Recommend
-
Hexanoic acid,2-(diethylamino)ethyl ester CAS:10369-83-2 Purity:98 LeadTime: days
-
Amylamine CAS:110-58-7 Purity:A800423-5ml*1,正戊胺,98% LeadTime:1 days
-
4-Amino thioanisole CAS:104-96-1 Purity:98 LeadTime:1 days
-
3,5-Dimethylphenol CAS:108-68-9 Purity:D806973-5kg LeadTime:1 days



