|
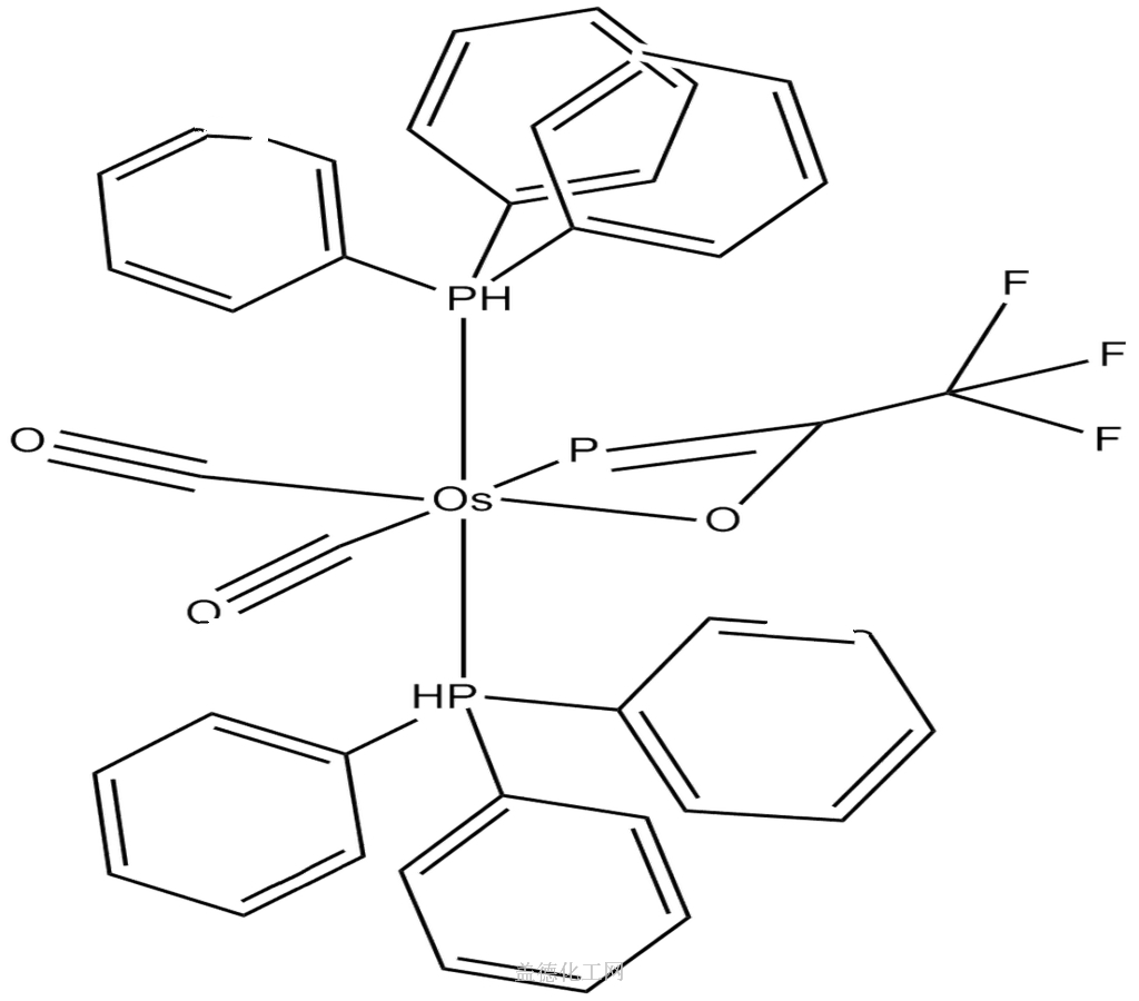
osmium(P=C(O)CF3)(CO)2(PPh3)2
- CAS No: 103932-33-8
- Formula: C40H30F3O3OsP3
- Molecular Weight: 898.81100
| Purity | Pack Size | LeadTime | Inventory | Operation |
Recommend
-
Phosphorus oxychloride CAS:10025-87-3 Purity:99 LeadTime:1 days
-
Pyridine,2-bromo-5-methoxy- CAS:105170-27-2 Purity:98% LeadTime:1 days
-
2-Bromofluorobenzene CAS:1072-85-1 Purity:99% LeadTime:1 days
-
3,5-Dimethylphenol CAS:108-68-9 Purity:D806973-5kg LeadTime:1 days



