|
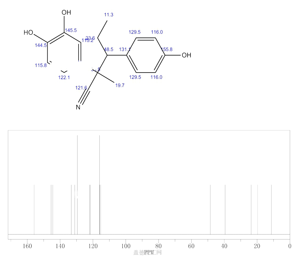
Benzenepropanenitrile, a-(3,4-dichlorophenyl)-b-ethyl-4-hydroxy-a-methyl-
- CAS No: 102584-95-2
- Formula: C18H19NO3
- Molecular Weight: 297.34836
| Purity | Pack Size | LeadTime | Inventory | Operation |
Recommend
-
2-(2-Ethoxyethoxy)ethanol CAS:111-90-0 Purity:D806762 LeadTime:1 days
-
Bromobenzene CAS:108-86-1 Purity:W330039-500g*1,99.5% LeadTime:1 days
-
(R)-4-Benzyl-2-oxazolidinone CAS:102029-44-7 Purity:98 LeadTime:1 days
-
Pyridine,2-bromo-5-methoxy- CAS:105170-27-2 Purity:98% LeadTime:1 days



