|
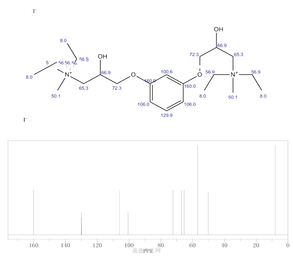
[m-Phenylenebis[oxy(2-hydroxytrimethylene)]]bis[diethylmethylammoniumiodide] (7CI)
- CAS No: 101675-83-6
- Formula: C22H42I2N2O4
- Molecular Weight: 652.397
| Purity | Pack Size | LeadTime | Inventory | Operation |
Recommend
-
2-(2-Ethoxyethoxy)ethanol CAS:111-90-0 Purity:D806762 LeadTime:1 days
-
2-Bromofluorobenzene CAS:1072-85-1 Purity:99% LeadTime:1 days
-
2-Bromofluorobenzene CAS:1072-85-1 Purity:99% LeadTime:1 days
-
Lansoprazole CAS:103577-45-3 Purity:医药级99% LeadTime:0 days



