|
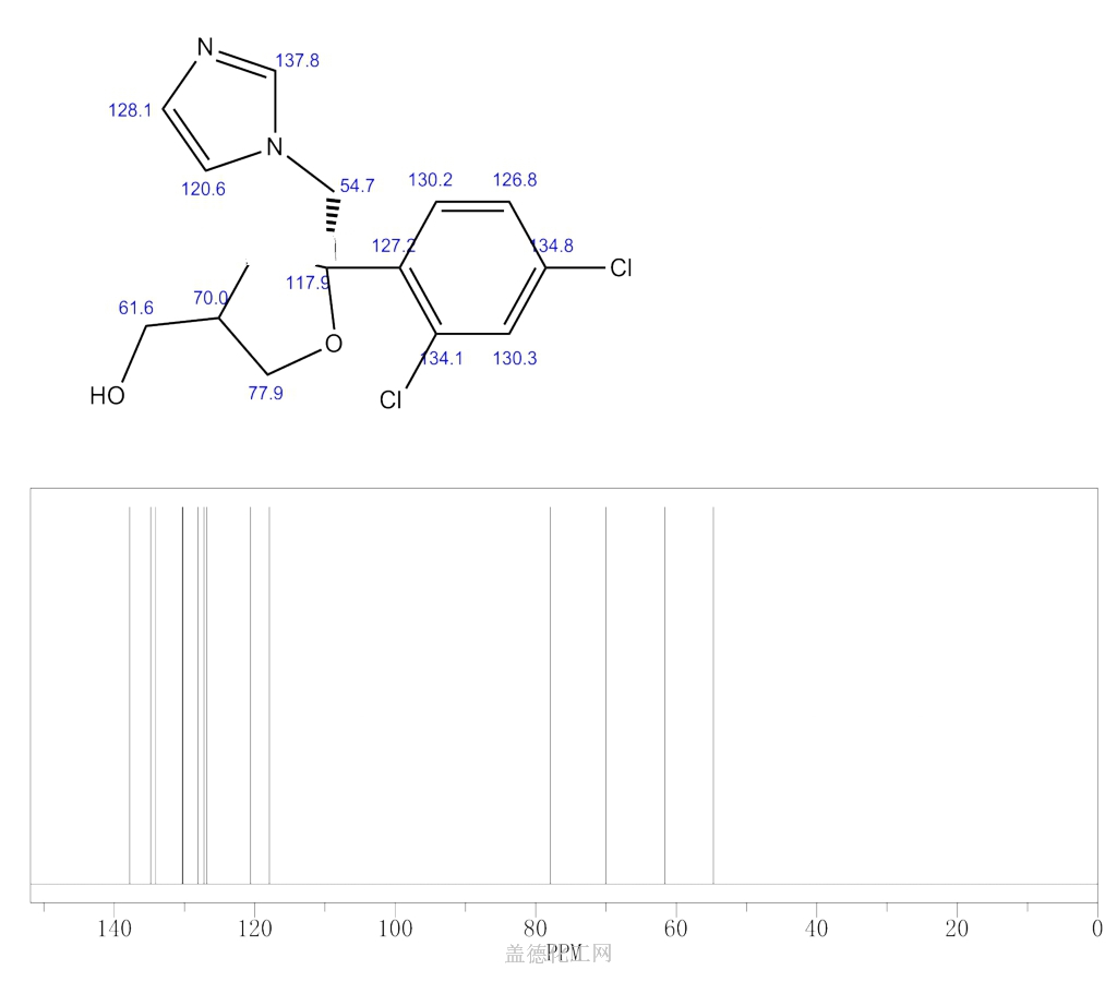
1,3-Dioxolane-4-methanol,2-(2,4-dichlorophenyl)-2-(1H-imidazol-1-ylmethyl)-, (2R,4S)-rel-
- CAS No: 61397-58-8
- Formula: C14H14Cl2N2O3
- Molecular Weight: 329.17856
| Purity | Pack Size | LeadTime | Inventory | Operation |
Recommend
-
3,5-Dimethylphenol CAS:108-68-9 Purity:98 LeadTime:1 days
-
Phosphorus oxychloride CAS:10025-87-3 Purity:99 LeadTime:1 days
-
2,6-Benzothiazolediamine,4,5,6,7-tetrahydro-, (6S)- CAS:106092-09-5 Purity:S808525-25g,(S)-(-)-2,6-二氨基-4,5,6,7-四氢苯并噻唑, 98% LeadTime:1 days
-
Amylamine CAS:110-58-7 Purity:A800423-5ml*1,正戊胺,98% LeadTime:1 days



