|
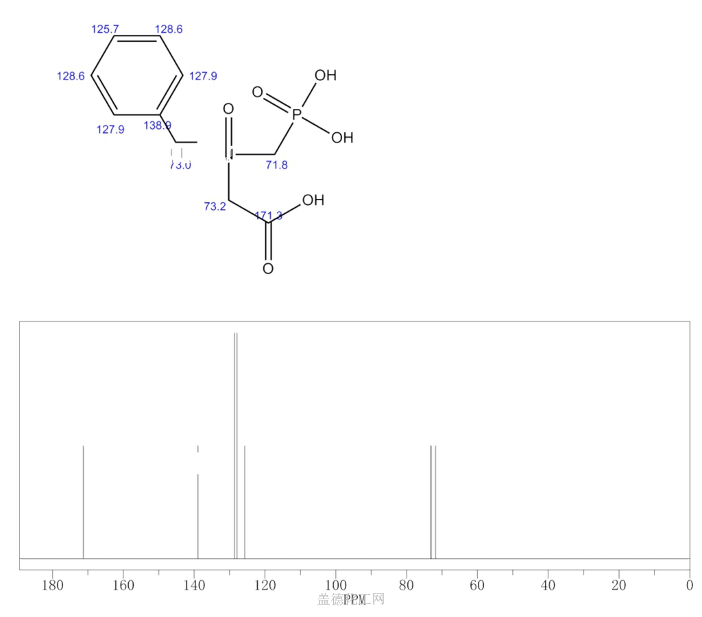
Glycine, N-(phenylmethyl)-N-(phosphonomethyl)-, N-oxide
- CAS No: 53792-70-4
- Formula: C10H14NO6P
- Molecular Weight:
| Purity | Pack Size | LeadTime | Inventory | Operation |
Recommend
-
2(1H)-PYRIDINONE, 1-METHYL-5-(4,4,5,5-TETRAMETHYL-1,3,2-DIOXABOROLAN-2-YL)- CAS:1002309-52-5 Purity:97 LeadTime:1 days
-
Lansoprazole CAS:103577-45-3 Purity:医药级99% LeadTime:0 days
-
(R)-4-Benzyl-2-oxazolidinone CAS:102029-44-7 Purity:98 LeadTime:1 days
-
2(1H)-PYRIDINONE, 1-METHYL-5-(4,4,5,5-TETRAMETHYL-1,3,2-DIOXABOROLAN-2-YL)- CAS:1002309-52-5 Purity:97 LeadTime:1 days



